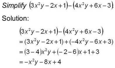
SUBTRACTION OF ALGEBRAIC EXPRESSION (HORIZONTAL METHOD) -
Subtracting algebraic expressions horizontally involves writing the terms of the expressions in a horizontal line and then performing subtraction. This method is particularly useful when you have to subtract algebraic expressions with multiple terms. Here are the steps for subtracting algebraic expressions horizontally:
Step 1:- Write the Expressions Horizontally
Write the two expressions one below the other horizontally, ensuring that like terms are aligned vertically.
For example, let's subtract Expression B from Expression A:
Expression A: 4x²- 3xy + 2y
Expression B: 2x²+ 5xy - y
Step 2:- Distribute the Subtraction Sign
Distribute the subtraction sign to each term in Expression B. This means changing the sign of every term in Expression B to its opposite (positive to negative or negative to positive).
Expression A: 4x²- 3xy + 2y
Expression B: -(2x²+ 5xy - y)
Step 3:- Align Like Terms Vertically
Arrange the terms vertically, aligning like terms under each other. This makes it easier to subtract like terms.
4x² - 3xy + 2y
-(2x²+ 5xy - y)
---------------------
Step 4:- Perform Subtraction
Now, subtract the coefficients of the like terms vertically. Remember to retain the variable parts unchanged.
Step 5:- Write the Result
Write down the result of the subtraction, combining the simplified terms:
2x²- 8xy + 3y
So, the simplified result of subtracting Expression B from Expression A horizontally is:
2x²- 8xy + 3y.
This method helps you organize the terms neatly and subtract them systematically, especially when dealing with complex algebraic expressions with multiple terms.


